Market Updates

Market Update/
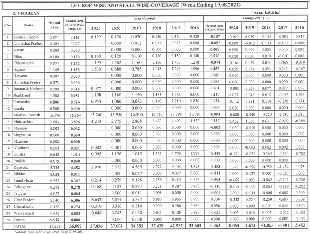
India’s Urad Market, August 16 to 21, 2021


At a glance



Highlights from the past week:

  • New crop started in Maharashtra state
  • Market improved due to increased demand from millers
  • Issues evident in upcoming crop, varying from state to state
  • Gujarat severely affected by drought; government is releasing water in canals for irrigation
  • In Maharashtra, Madhya Pradesh & Rajasthan, there was less rain in the initial phase but things improved in the last week of June and first week of August
  • In Chennai FAQ and SQ urad closed at Rs. 6800 & 6950 respectively, both up Rs. 50 on August 19 compared to August 18
  • The sowing area of 37 lakh hectares is similar to last year but 28,000 less than the 5 year average

 

Rundown of Indian Markets

Market improved due to increased demand

Burma
Last week in Burma, FAQ urad declined by $20 and SQ urad by $ 5 per tonne, meaning prices were at $ 900 and $ 1060 per tonne, respectively.

At Port
In Mumbai, urad recorded an improvement of Rs. 100 per quintal due to the demand of stockists. Old crop traded at Rs. 6,925 and new crop at Rs. 7025 per quintal. Similarly, an increase of Rs. 150 per quintal was registered in Chennai for FAQ urad and Rs. 100 per quintal for SQ urad. With this increase the prices reached Rs. 6,800 per quintal for FAQ and Rs. 7,950 per quintal for SQ.

Delhi
As prices at the port improved and millers in Delhi continued buying urad, the market showed an upward trajectory. In Delhi, FAQ urad improved by Rs. 175/200, trading at Rs 7175/7200 per quintal. Similarly, SQ jumped by Rs. 125 per quintal to Rs. 8,300 per quintal.

Maharashtra
New urad started in some markets of Maharashtra. The daily arrival of new urad in the Latur Market was 100/150 bags and sold at Rs. 7500/7600 per quintal. Due to continued buying, urad in Akola rose by Rs. 300 per quintal, trading at 7200 and in Ahmed Nagar, prices jumped Rs. 200 to Rs. 7,700.

Uttar Pradesh
Due to continued buying, a surge of Rs. 100 was recorded in Bareilly and urad traded at Rs. 7,350/7,400 per quintal. In the Lalitpur mandi, the daily arrival was 500/700 bags and prices fell by Rs. 200 per quintal to Rs. 6,000/6,600.

Rajasthan
Due to sparse arrival of urad combined with increased demand, urad in Jaipur registered an increase of Rs. 400 per quintal this week, trading at Rs. 6,600/7,500 per quintal. In Kekri, prices improved by Rs. 100 per quintal to Rs. 5,700/6,800 per quintal.

Other
Due to the all-round increase, in Gulbarga urad rose by Rs. 200 to Rs. 5,000/7,411. Similarly, in Vijayawada prices increased by Rs. 150 to Rs. 7,350/7,550.

Urad dal
This week, urad dal registered a rise of Rs. 200/300 to Rs. 8,400/9,950 per quintal due to the increase in buying and demand.

News Blurbs

Import of urad, mung and lentil continues at a regular pace

New Delhi. Regular import of urad, moong and masoor has been going on in the country since the beginning of the current financial year.

In April-May 2020, Urad import was 1,17,561 tonnes, but in April-May 2021 it came down to just 25,205 tonnes. The total import of urad during the first four months of the current financial year i.e., April-July 2021, is estimated to reach 1,41,479 tonnes from 71,638 tonnes in June and 44,636 tonnes in July. 3,44,790 tonnes were imported in the entire period (April-March) of the financial year 2020-21 and 3,12,078 tonnes in the financial year 2019-20. At that time, it was subject to an annual import quota, which has now been removed. Urad is mainly imported into India from Myanmar.

As far as moong is concerned, the total import is estimated at 49,972 tonnes in the four months of April-July 2021, which includes 10,558 tonnes in April-May, 15,038 tonnes in June and 24,376 tonnes in July. Earlier in April-May 2020, 981 tonnes of moong were imported. In the entire period (April-March) of the financial year 2020-21, 81,842 tonnes were imported and a total of 69,439 tonnes of moong were imported in the financial year 2019-20. Most of the imports came from Myanmar.

The import of lentils has been at a normal pace until now but is expected to increase substantially in the future. In the two months of April-May 2020, imports were 85,510 tonnes compared to 10,129 tonnes in April-May 2021. In June, the imports could reach only 9,149 tonnes but in July the quantity is expected to jump to 94,025 tonnes, taking the total import of lentils to an estimated 1,13,303 tonnes in the four months of April-July 2021. In the financial year 2019-20, the total import of lentils reached 8,54,460 tonnes.

 

SEBI decides to impose penalty on repeated delivery defaults in the commodity business

Mumbai. The Securities and Exchange Board of India (SEBI) set the delivery default rule via a circular issued on 23 March 2021. At that time, it was felt that there was a need to have a suitable, minimal mechanism to check the defaults in repeated deliveries. This is expected to further strengthen the delivery process and help ensure stability in the market. In view of this, the SEBI has decided to take some new steps by conducting surface consultations with the Clearing Corporations. Under this, in case of repeated delivery defaults by a seller or buyer, an additional penalty of 3% of the total value of that delivery default will be levied on each proof of default. In a new circular issued by the Risk Management Division, subordinate to the Commodity Derivatives Market Regulation Department of SEBI, it has been said that a repeated default shall be defined as an event that occurs during a period of six months on a continuous ongoing basis. In case of non-compliance of delivery obligations on more than one occasion, the penalty collected shall be transferred to the Settlement Guarantee Fund (SGF) of the Clearing Corporation. This circular will be effective after one month from the date of its issue. Full details are available on SEBI website. The Securities Contracts (Regulation) Act was put in place to regulate and promote the development of the insurance market as well as to ensure the protection of the interests of investors in insurance. In 1956, the SEBI was given the power to impose penalties. Delivery-based business is widespread in the market but it often occurs that either sellers repeatedly fail to deliver or buyers refuse to take delivery. This creates a situation of controversy which has to be curbed.

 

Crops affected by floods and rains in the eastern part of Rajasthan and drought in western districts

Jaipur. In Rajasthan, an important agricultural state of the country, the conditions of south-west monsoon have been erratic and distribution of rainfall has also been largely uneven. Kharif crops have been affected due to severe rain deficiency in 11 districts of Rajasthan. Irrigation from canals is available for only 20 percent of the agricultural land in the state while the rest of the land is irrigated from other sources. Due to the lack of rainfall, the level of ground water has also decreased greatly. In the eastern part of Rajasthan, during the last week of July and the first week of August, torrential rains and severe floods caused heavy damage to many crops, which was confirmed by the State Agriculture Department. On the other hand, a drought-like environment is prevailing over West Rajasthan where in some districts the rainfall deficit has reached 40 percent. According to the Meteorological Department from August 20, the eastern part of Rajasthan is expected to receive good rains, while the western districts are likely to receive only light rain or showers. Drought conditions in some districts of western Rajasthan may continue until the end of the monsoon season while torrential rains in more isolated areas of the eastern part mean there is a risk of re-flooding. Districts like Banswara and Dungarpur have been receiving heavy rains but more recently there has been a drought. The crops of jowar, maize, millets, soybean and pulses are not in good condition in the state. Even during sowing, the rains continued to be hampered in some places due to drought. If there is no good rainfall in the drought-prone areas in the coming days, then sowing of Rabi crops may also be affected. The area under Kharif crops in Rajasthan has reached 139 lakh hectares, which is much less than the fixed target of 164 lakh hectares and the normal average area of 182 lakh hectares. In many areas, sowing is still pending.

 

Relief to Kharif crops and farmers due to rain in northern Maharashtra

Rains in the northern part of Maharashtra, which has been suffering from drought for a long time, have brought huge relief to the Kharif crops, easing the farmers' despair to a great extent. Nashik city received 11 mm of rain on August 17 & 18, while other districts of North Maharashtra - namely Dhule, Jalgaon and Nandurbar - also recorded good rainfall. Farmers had been waiting for the monsoon rains for the last two weeks and there was fear that if there was no good rainfall in the next week or so, the Kharif crops could suffer heavy losses. Fortunately, however, due to heavy rain coming at the right time, the crops got a renewed chance and now there is also the possibility of improvement in the condition of other crops, such as maize. Officials of the Agriculture Department say that crops like cotton and maize received good rains even before they were damaged. If sowing is delayed by four to five days, the progress of Kharif crops could be seriously affected. Both cotton and maize are cultivated on a large scale in the districts of Dhule, Jalgaon and Nandurbar.

Heavy rains may in fact prove harmful rather than beneficial for the crop of moong and urad and there is a possibility of a decline in production of up to 50 percent. In northern Maharashtra, however, these two pulses are cultivated in a much smaller area. Some parts of Nashik district, which is also known for its onion production, still need some more rain. Monsoon activity has started increasing in some areas of Maharashtra - namely, Marathwada and Vidarbha - thus ending the drought.

 

Kharif crops remain under threat due to severe drought in Gujarat

Rajkot. Due to a long period without good rains in the western state of the country, the moisture content in the soil of the fields is decreasing rapidly, which is seriously affecting the sowing and progress of Kharif crops. In many areas, the crop has reached the point of almost drying up. If there is widespread heavy rainfall in the next four or five days, the average yield rate and quality may be severely affected. Although the state government has decided to release water from the Sardar Sarokar Sarovar Dam, it can only provide water for irrigation to crops up to 5 lakh hectares. More than two-thirds of Gujarat remains in the grip of drought and monsoon rains are eagerly awaited. In the absence of irrigation, there is a possibility of more damage to the pulses, oilseeds and cotton crops. The State Agriculture Department says that every effort is being made to save the crops from drying out. But the problem is that the levels of water in the dams and reservoirs is decreasing and there is not much stock of ground water and ground water. Due to the dry, hot weather, the soil in the fields has started cracking in some areas meaning normal showers will not be enough and only torrential rains will be able to resolve the dryness. The Meteorological Department is not yet able to guarantee rain in Gujarat. In many parts of Maharashtra, the condition of crops has improved significantly due to good rains during the last two or three days but the crisis still persists in Gujarat, which is the largest producer of cotton, groundnut and castor in the country.

 

IMPORT FIGURES

Abbreviations

Tuar/ Arhar: Pigeon Peas PP
Mung: Green Mung
Urad: Black Matpe
Chana: Gram, Desi Chickpea
Matar: Pea
Masur: Lentil
Mandi: Market yard
Bhav: Prices
Dal/Daal: Processed Pulses (Directly for human consumption)
Rs: Indian Rupees (1$=Rs 74.19)|
FAQ: Urad size below 3.25 mm
SQ: Urad size above 3.25mm

 

Rahul Chauhan
Director, IGrain India
igrainind@gmail.com
+91 9350141815
Twitter igrain_india

 

WhatsApp Icon

Want to become a member? Contact us!